闻乐 发自 凹非寺量子位 | 公众号 QbitAI备受Meta审核规定“折磨”,依旧猛发论文!表示可能要辞职的LeCun带着最新研究来了,仍然和三位F...
2025-10-09 0
闻乐 发自 凹非寺
量子位 | 公众号 QbitAI
备受Meta审核规定“折磨”,依旧猛发论文!
表示可能要辞职的LeCun带着最新研究来了,仍然和三位FAIR同事合作。
Yann LeCun团队新论文发现了自监督模型JEPAs(联合嵌入预测架构)的隐藏技能——
学会了数据的“密度”。
这里的“数据密度”可以理解成数据的常见程度:密度高的样本是更典型、更常见的数据,密度低的是少见的、甚至异常的数据。
JEPAs原本被视为仅擅长特征提取的模型,这次LeCun团队发现该模型在训练过程中悄悄掌握了感知数据常见程度的能力。
这就意味着,只要JEPAs训练成功了,不用额外做什么,就能用它来判断一个样本的常见程度。
打破了学界长期以来“JEPAs仅学特征、与数据密度无关”的认知。
要理解这一新发现的突破,首先来说一下JEPAs。
△源自《A Path Towards Autonomous Machine Intelligence》图12
JEPAs作为LeCun团队近年重点推进的自监督学习框架,核心优势在于无需人工标注,模型就能自主从海量数据中学习特征规律,学完后就可以直接适配图像识别、跨模态匹配等下游任务,是AI领域高效学习的代表性模型。
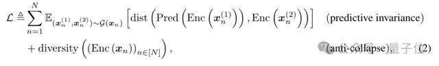
此前学界普遍认为,JEPAs的训练只有两个核心目标:
而论文的新发现就是从反坍缩中得来。
如果所有数据的特征都一样,模型相当于白学,所以过去大家都将反坍缩单纯视为避免特征失效的保障手段,没有意识到它还有更深层的作用。
LeCun团队就聚焦于反坍缩的的隐藏价值,研究通过变量替换公式与高维统计特性推导证明,反坍缩不仅能防止特征坍缩,更能让JEPAs精准学习数据密度。
从理论层面看,当JEPAs输出高斯嵌入(高维空间中近似均匀分布于超球面的特征)时,模型必须通过雅可比矩阵(反映模型对样本微小变化的响应程度)感知数据密度,才能满足训练时的约束条件,这意味着学习数据密度并不是偶然,而是JEPAs训练过程中的必然结果。
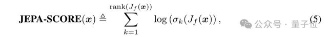
为了让这种隐藏的密度感知能力落地实用,团队还提出了关键工具JEPA-SCORE。
这是从JEPAs 中提取数据密度的量化指标,核心作用就是给样本的常见度打分。
根据公式来看计算逻辑简洁高效,只需要获取JEPAs处理目标样本时的雅可比矩阵,计算矩阵的特征值后取对数求和,得到的结果就是JEPA-SCORE,分数越高说明样本越典型(数据密度高),分数越低则样本越罕见或异常(数据密度低)。
更重要的是,JEPA-SCORE还具备极强的通用性,无限制适配,既不挑数据集,也不挑JEPAs架构。
无论是ImageNet、手写数字MNIST,还是未参与预训练的陌生数据(星云图集),都能精准计算;
不管是I-JEPA、DINOv2(单模态视觉模型),还是MetaCLIP(多模态模型),只要是成功训练的JEPAs家族模型,都能直接使用,且无需额外训练模型。
为了验证这一发现的可靠性,团队还开展了多组实验。
在ImageNet数据集中,不同JEPAs模型对典型样本(如飞行姿态的鸟类)和罕见样本(如栖息姿态的鸟类)的JEPA-SCORE判定高度重合,证明这是JEPAs的共性能力,并不是某个模型的偶然;
面对未参与预训练的星系图像数据集,其JEPA-SCORE显著低于ImageNet数据,说明模型能精准识别陌生数据;
而在数据筛选和异常检测的实用测试中,JEPA-SCORE的效果也优于传统方法。
△数据筛选场景
△异常检测场景
此次研究并非LeCun一人之功。
另外三位核心研究者也都是Meta FAIR的研究员。
Randall Balestriero是布朗大学计算机科学助理教授,长期深耕人工智能与深度学习领域。
2013年起研究可学习信号处理,他参与的技术曾用于NASA火星车火星地震探测。
2021年获莱斯大学博士学位,后进入Meta AI做博士后,师从Yann LeCun。
Nicolas Ballas拥有法国格勒诺布尔大学博士学位。
2010年4月至9月,他担任了LTU Technologies的研发实习生,从事应用于图像检索的大规模聚类相关工作。
自2017年起,他在FAIR担任研究科学家,已任职超过8年。
Michael Rabbat是FAIR的创始成员,拥有伊利诺伊大学厄巴纳-香槟分校的工程学士学位、莱斯大学的工程硕士学位,以及威斯康星大学麦迪逊分校的电气工程博士学位。
他的研究方向聚焦于优化算法、分布式算法及信号处理三大领域。
加入Meta之前,Mike曾担任麦吉尔大学电气与计算机工程系教授。
论文地址:https://arxiv.org/abs/2510.05949
— 完 —
量子位 QbitAI · 头条号签约
关注我们,第一时间获知前沿科技动态
相关文章
闻乐 发自 凹非寺量子位 | 公众号 QbitAI备受Meta审核规定“折磨”,依旧猛发论文!表示可能要辞职的LeCun带着最新研究来了,仍然和三位F...
2025-10-09 0
文 | 普朗鸣编辑 | 普朗鸣全球变暖让各国都头疼,而二氧化碳作为变暖的元凶,早就被科学界盯上了,谁能既高效捕碳,又把碳变废为宝,谁就攥住了环保和产业...
2025-10-09 0
IT之家 10 月 9 日消息,据第一财经报道,小鹏汽车将于今年的 AI 科技日上宣布在物理 AI 领域取得的“重大突破”,小鹏世界基座模型在对世界进...
2025-10-09 0
9月,中国航天固体动力领域捷报频传:5日谷神星一号遥十五火箭点亮酒泉夜空,7日、27日长征六号改一月内两叩苍穹,9日、24日捷龙三号实现半个月海上两连...
2025-10-09 0
与往年不同的是,比起我们早已「习惯」的那台更新、更好的 iPhone,今年的 iPhone 17 Pro 似乎跳出了 Apple 多年例行的框架,交出...
2025-10-09 1
近日,2025年“数据要素×”大赛江苏分赛决赛结果公示,姑苏区交出亮眼答卷,辖区范围内5个企事业单位项目强势突围、斩获奖项。其中,“苏州丝绸纹样数据活...
2025-10-09 1
近日,太原武宿国际机场三期改扩建工程新建二跑道顺利通过行业验收,标志着三期改扩建工程关键环节已全面达到行业标准,为年内投运奠定重要基础。本次行业验收由...
2025-10-09 1
【10月9日杰富瑞称阿里9月季度增长势头或稳健】10月9日,杰富瑞分析师在研究报告中称,阿里巴巴9月季度增长势头可能表现稳健。 杰富瑞预计,其客户管理...
2025-10-09 0
发表评论